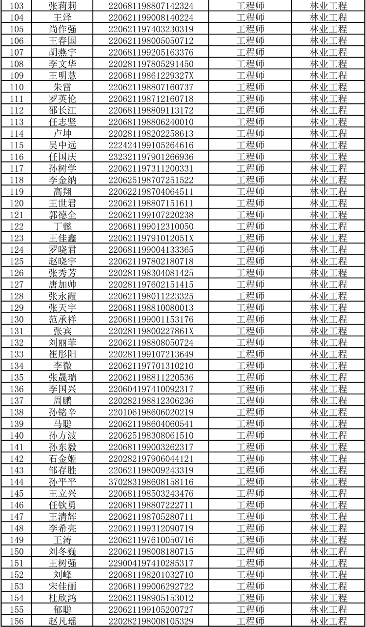
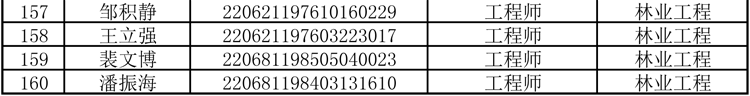
根据省人力资源和社会保障厅2023年度职称评审工作安排部署,授权吉林森工集团林业工程系列专业技术资格评审委员会负责林业工程系列副高级和中级职称评审工作,评委会办事机构已与省人社厅完成网上申报人员材料的A、B角审核工作,现将申报材料审核通过人员名单予以公示。 公示期间,各单位或个人对公示对象如有异议,可以书面或电话形式进行反映,反映情况和问题必须实事求是,应签署或告知真实姓名、工作单位和联系方式。我们将对反映的情况和问题认真调查核实,并按有关规定做出相应处理。凡匿名、冒名、假名,且线索不清的举报不予受理,诬告陷害、干扰职称工作的将严肃查处。 公示时间:截止至2023年7月31日 联系地址:长春市人民大街4036号(吉林森工集团) 联系电话:(0431)88480449 附件: 2023年林业工程系列职称申报材料审核通过人员名单 吉林森工集团林业工程系列专业技术资格评审委员会 2023年7月21日 附件: 



|